Thermo-Hydro-Mechanical-Economic properties in High-Temperature Aquifer Thermal Energy Storage.
The 2050 Swiss Energy Strategy aims to reduce carbon emissions by embracing renewable energy resources. In Switzerland and worldwide, the heating and cooling sector uses roughly half of the total energy consumed, which is generated primarily by fossil fuels. Aquifer thermal energy storage (ATES) allows low-carbon and/or low-cost heat to be stored until the demand for heat rises, usually in the winter.
There is interest in expanding ATES to higher temperatures and different reservoir types, like those found in Switzerland. As temperature and pressure increase in ATES systems, the potential for thermo- and poroelastic deformation also increases. We study thermo-hydro-mechanical-economic (THM$) effects in high temperature (HT) (>50 °C) ATES systems (Fig. 1).

Figure 1: Schematic of THM processes in a HT-ATES system. The temperature and pressure changes lead to mechanical deformations, such as ground uplift.
Our work involves the use of coupled THM numerical models. We use the MOOSE framework to solve the thermo-poro-elastic equations. It is a generalized, parallelized finite element software that facilitates the coupling between different physics. An illustrative example of the numerical model is shown in Figure 2.

Figure 2: Numerical model results. The 3D mesh (a) uses localized refinement near the wells. The pore pressure (b) and temperature (c) affect the deformation (d).
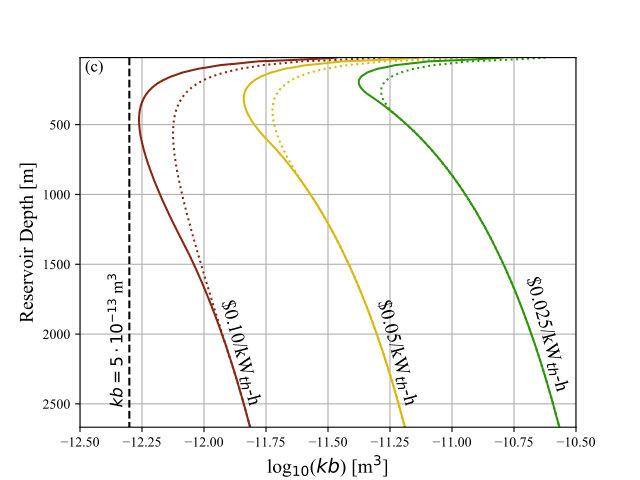
We combine reservoir-engineering with economic calculations in our THM$ approach. We balance three constraints: (a) the size and thermal capacity of the reservoir, (b) avoidance of hydraulic fracturing, and (c) minimization of the levelized cost of heat (LCOH). This provides practical insights on the optimal well spacing, flow rate, and depth for HT-ATES wells.

Figure 3: Levelized cost of heat contours as a function of depth and transmissivity. The MEVT is shown by the dashed line.